Câu 2 (trang 5)
----------------------------------------------------------------------------------
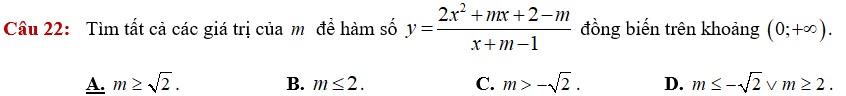
Câu 22 (trang 21)

----------------------------------------------------------------------------------
Câu 6 (trang 24)
Sửa hàm số thành: y = x^4 - 2x^2 +1 để phù hợp với đáp án S-Đ-Đ-Đ.
Hoặc để đề như vậy sửa đáp án thành S-Đ-S-S.
----------------------------------------------------------------------------------
Câu 2 (trang 32). c) ĐÚNG. Sửa thành c) SAI
----------------------------------------------------------------------------------
Trang 37. Sửa công thức: Bỏ 2 dấu tương đương cuối như hình sau:
----------------------------------------------------------------------------------
Câu 22 (trang 41)
Sửa đáp án A như hình trên
----------------------------------------------------------------------------------
Câu 8 (trang 52)
Sửa ý d) thành 2(x1 + x2) = 3 + x1.x2 để phù hợp với d) ĐÚNG.
Hoặc để đề như vậy sửa đáp án thành d) SAI
----------------------------------------------------------------------------------
Câu 8 (trang 166)
Sửa biểu thức P = 2025A - 2026B
----------------------------------------------------------------------------------
Câu 10 (trang 188) - Phần 2 Câu trắc nghiệm đúng sai: Câu 10 b) ĐÚNG. Sửa thành: b) SAI
----------------------------------------------------------------------------------
Câu 3 (trang 193) - Phần 2 Câu trắc nghiệm đúng sai: Câu 3 a) SAI. Sửa thành: a) ĐÚNG
Câu 4 (trang 193) - Phần 2 Câu trắc nghiệm đúng sai: Câu 4 d) ĐÚNG. Sửa thành: a) SAI
----------------------------------------------------------------------------------
Câu 3 (trang 197) - Phần 3 Câu trắc nghiệm trả lời ngắn:
Sửa hàm số thành f(x)= 480/x +0,03x^2 và đáp án là: 20
----------------------------------------------------------------------------------
Câu 6 (trang 201) - Phần 2 Câu trắc nghiệm đúng sai: Câu 6 b) SAI. Sửa thành: b) ĐÚNG
----------------------------------------------------------------------------------
Trang 105: Phần 2. Câu 1. b) SAI. Sửa thành: b) ĐÚNG
----------------------------------------------------------------------------------
Câu 6 (trang 123) - Câu trắc nghiệm trả lời ngắn. Đáp án: 659. Sửa thành: 517
----------------------------------------------------------------------------------










